注水算法
來源: 中國農業儀器網 類別:技術文章 更新時間:2009-07-29 閱讀次
迭代注水算法是由Wei Yu提出的,它是一種多用戶功率分配算法。這是一種自私算法,當接收端和發送端沒有共享信道信息時,它的實現非常簡單,復雜度低。但是,當信道上有共享信息,需要共享信道,這是網絡拓撲就會出現遠近效應,這就產生了非平衡狀態,引起用戶間信號干擾,信息傳輸效率下降。

表 基于多用戶OFDM功率分配算法表比較
|
算法 |
性能特點 |
|
貪婪算法 |
利用多用戶注水算法原理,復雜度低,實現簡單,性能較差 收發端不需共享信息時實現簡單,需要時,則會引起用戶間干擾,導致信道吞吐量下降 |
|
理想優化算法 |
性能優異,計算復雜,實現困難 通過優化甲醛速率求和,考慮各用戶發送功率對系統內其他用戶間的干擾,合理分配載波資源和發送功率,使整個OFDM系統傳輸性能最優 |
迭代注水算法是以用戶吞吐量最大化為目標的。迭代注水算法公式列表如下:

然后求出Lagrange函數:

得:
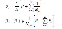
此時我們再利用迭代算法,得到一個注水水位β,然后就可以求得最優功率分配。這種算法就是我們所說的迭代注水算法。
迭代注水算法中很重要的一步就是確定注水水位β的值。那么,如何快速確定注水水位β的值,也從某種程度上決定了注水算法的優劣。這里,我們提供一種β值的算法,供大家參考。

其中0<β<1。
- 【中國農業儀器網】聲明部分文章轉載自其它媒體,轉載目的在于傳遞更多信息,并不代表本網贊同其觀點和對其真實性負責,且不承擔此類作品侵權行為的直接責任及連帶責任。如涉及作品內容、版權和其它問題,請在30日內與本網聯系。
推薦儀器
最近更新儀器









