您現在的位置:中國農業儀器網 > 技術文章 > 凱氏定氮法測定食品中蛋白質的不確定度分析
凱氏定氮法測定食品中蛋白質的不確定度分析
來源: 本站 類別:技術文章 更新時間:2014-02-27 閱讀次
在ISO/IEC17025《校準和檢測實驗室能力的通用要求》中明確指出實驗室出具的檢測報告應包含有關評定校準或測試結果的不確定度說明,故對測量結果進行不確定度的評定成為檢測實驗室的重要內容。本文試食品中蛋白質檢測項目的檢測結果作不確定度評定。
1 檢驗方法
原理;含氮的有機化合物,與硫酸一同加熱消化,使蛋白質分解,分解的氨與硫酸結合生成硫酸銨,然后堿化蒸餾使氨游離,用硼酸吸收后再以鹽酸標準溶液滴定,根據酸的消耗量乘以換算系數即為蛋白質含量。
建立數學模型
1.1 鹽酸標準溶液的相對標準不確定度u(CHCL)/CHCL 的分析鹽酸標準溶液的不確定度來自三方面:第一,標定鹽酸用基準無機碳酸鈉純度為100%± 0.05%,按均勻分布轉換成標準偏差為0.0005/ √ 3=0.00029,u(p)/p=2.9 × 10-4。第二,基準稱量的變動性,在50g 以內稱量的變動性通過10 次重復測定統計,標準偏差為0.05mg,天平校正產生的不確定度,按檢驗證書給定的± 0.1mg,在置信概率95%(k=1.96)時,換算成標準偏差為0.1/1.96=0.051,即u ( m’) / m ’= 5 . 4 × 1 0 -4。第三,5 0 m L 滴定管的不確定度按檢驗證書給定的± 0.04mL,按均勻分布換算標準偏差為0.04/ √ 3=0.023mL,充滿液體至滴定管刻度的變動性通過重復6次測定統計,標準偏差為0.012mL,滴定管與溶液溫度校正時溫度不同引起的體積不確定度,假設差為2℃,對水體積膨脹系數為2.1 × 10-4/℃,則95% 置信概率(k=1.96)時體積變化的區間為± 50 × 2 × 2.1 × 10-4= ± 0.021 mL,轉換成標偏差為0.021/1.96=0.011。u(V50)/V50=5.6 × 10-4。根據以上三項得出的鹽酸標準溶液的相對標準不確定度為:

1.2 樣品稱量的標準不確定度u(m)的分析稱量不確定度來自兩方面。第一,稱量的變動性在50g 以內,稱量的變動性通過10次重復測定統計,標準偏差為0.05mg。第二,天平校正產生的不確定度,按檢驗證書給定的± 0.1mg,在置信概率95%(k=196)時,換算成標準偏差為:0.1/1.96=0.051,此兩項得出稱量的不確定度為:

1.3 100mL 消化瓶體積的標準不確定度u(V100)的分析
100mL 消化瓶的不確定度來自三個方面,第一,消化瓶體積的不確定度,按檢驗證書給定為± 0.12 mL,按照均勻分布換算成標準偏差為0.12/ √ 3=0.069mL。第二,充滿液體至消化瓶刻度的變動性通過6 次重復測定統計,標準偏差為0.019mL。第三,消化瓶和溶液的溫度與校正溫度不同而引起的體積不確定度,假設為2℃,對水體積膨脹系數為2.1× 10-4/℃,則95% 置信概率(k=1.96)時體積變化區間為± 100 × 2 × 2.1 × 10-4= ± 0.042mL,轉換成標準偏差為0.042/1.96=0.021mL,該三項得出的不確定度為:

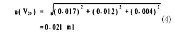
1.4 20mL 移液管的標準不確定度u(V20)的分析
20mL 移液管的標準不確定度來源為:第一,移液管體積的不確定度,按檢驗證書給定為± 0.03mL,按均勻分布換算標準偏差為0.03/ √ 3=0.017mL;第二,充滿液體至移液管刻度的變動性,通過重復6次測定統計,標準偏差為0.012mL;第三,移液管和溶液的溫度與校正時的溫度不同引起的體積不確定度,假設差為2℃,對水體積膨脹系數為2.1 × 10-4/℃,則95% 置信概率(k=1.96)時體積變化的區間為± 20 × 2 × 2.1 × 10-4= ± 0.008mL,轉換成標準偏差為0.008/1.96=0.004mL,以上三項合成得出的不確定度為:

1.5 樣品扣除試劑空白(V1-V0)消耗鹽酸標準溶液的不確定度u(V10)的分析
用鹽酸標準溶液滴定樣品和試劑空白是在10mL 滴定管中進行的。10mL 滴定管的標準不確定度來源為:第一,滴定管體積的不確定度,按檢定證書給定為± 0.02mL,按均勻分布換算成標準偏差為0.02/ √ 3=0.012mL。第二,充滿液體至滴定管刻度的變動性,通過重復6 次測定統計, 標準偏差為0 . 0 1 0m L 。第三,滴定管和溶液的溫度與校正溫度不同引起的體積變化的不確定度,假設差為2℃,對水體積膨脹系數為2.1 × 10-4/℃,則95% 置信概率(k=1.96)時體積變化的區間為± 10 × 2 × 2.1 × 10-4=0.004mL,換算成標準偏差為0.004/1.96=0.002mL,以上三項合成得出的不確定度為:

樣品( 大豆粉)測得蛋白質含量為N=44.32g/100g,則u(N)=44.32 × 0.0023=0.10g/100g。當然,測定大豆蛋白質含量也有十分簡便的方法,即直接用儀器測定,如粗蛋白測定儀就是一款測定蛋白質的儀器,采用了電熱蒸汽發生器,能夠連續不斷地進行微量和常量蒸餾。含8孔數顯型消化爐。
2 擴展不確定度分析
取包含因子k=2(95% 置信概率),則U(N)=2 × u(N)=2 × 0.10=0.20g/100g。
3 最后結果表示
N=N ± U(N)=(44.32 ± 0.20)g/100g。
- 【中國農業儀器網】聲明部分文章轉載自其它媒體,轉載目的在于傳遞更多信息,并不代表本網贊同其觀點和對其真實性負責,且不承擔此類作品侵權行為的直接責任及連帶責任。如涉及作品內容、版權和其它問題,請在30日內與本網聯系。
推薦儀器
最近更新儀器
相關技術文章









