您現在的位置:中國農業儀器網 > 技術文章 > 如何使用凱氏定氮儀測定那個NR中的氮含量
如何使用凱氏定氮儀測定那個NR中的氮含量
NR中的氮主要來自膠乳中的粗蛋白質。蛋白質對橡膠的性能有較大影響,一方面它的分解產物可以促進橡膠的硫化、延緩老化,使橡膠制品耐用;另一方面它可增強橡膠的吸水性、導電性以及生熱性,不利于制造絕緣性的電工器材,影響動態性能。因此,測定NR中的氮含量有重要意義。目前,粗蛋白質中氮含量測定多采用凱氏定氮儀,我國國家標準與ISO標準均采用這種方法。凱氏定氮法作為經典的化學分析方法,測定結果準確、靈敏,但存在分析時間長、過程復雜、操作缺乏安全性等缺點。本工作采用自動定氮儀測定NR中氮含量,并與凱氏定氮法測定結果進行比較。
1 實驗
1.1 試劑
試驗用催化劑、混合指示劑、硼酸吸收液和滴定用鹽酸標準溶液等均按GB/T 8088)1999中的要求配制。
1.2 主要試驗儀器
自動定氮儀,型號KJELTEC 1030,瑞典FOSS公司產品,具有定氮儀蒸餾器和自動滴定功能,最小滴定單位為0.01 mL,可根據滴定缸內溶液顏色變化進行終點判定,蒸餾體積達250 mL;儀器配有內置恒溫器的消化器,控溫范圍為50~440e。分析儀專用消化管體積為250 mL。
1.3 樣品制備
按GB/T 15340)1994[3]均勻化試樣。
1.4 試驗方法
(1)消化
稱取0.1~0.2 g(精確至0.000 1 g)樣品于消化管中,加入約0.65 g催化劑混合物和3 mL硫酸,用消化器加熱至消化液為澄清綠色后繼續煮沸30 min。冷卻,加蒸餾水75 mL待測。同時做空白試驗。
(2)蒸餾和滴定
設定儀器中堿液泵沖程約20 mL,吸收液泵沖程約15 mL,蒸餾體積為140 mL。先做空白試驗,在取得穩定的空白值后依次測定已消化好的樣品。
2 結果與討論
2.1 蒸餾體積的確定
蒸餾體積是指確保樣品蒸餾完全、結果準確前提下的最小蒸餾液體積,在試驗條件確定的情況下,其與蒸餾時間相對應。同一樣品在不同蒸餾體積下氮含量的測定結果見表1。

由于樣品中的氮經消化后以(NH4)2SO4形式存在,在強堿條件下很容易蒸餾。由表1可以看出,當蒸餾體積達到120 mL時試樣已基本蒸餾完全,因此設定蒸餾體積為140 mL,蒸餾時間約4.5 min。雖然儀器法的蒸餾體積是凱氏定氮法的2倍,但凱氏定氮法的蒸餾時間為10~12min,且不包括滴定時間,而儀器法是蒸餾、滴定同步進行,因此試驗時間可縮短2/3。
2.2 顯著性檢驗
分別采用儀器法和凱氏定氮法對同一樣品中氮含量進行測定,結果見表2。根據試驗結果進行顯著性檢驗。
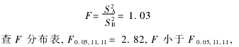
(1)F檢驗法
說明兩組數據的方差沒有顯著性差異,兩種測定方法的精密度一致。
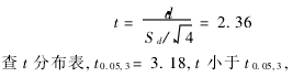
(2)t檢驗法
說明兩種測定方法的結果沒有顯著性差異。
分別采用儀器法和凱氏定氮法對4個不同樣品進行測定,結果見表3。根據表3結果計算:
兩種測定方法間不存在系統誤差。

3 結語
采用自動定氮儀進行NR中氮含量測定,其結果與凱氏定氮法測定結果無顯著性差異,試驗時間可縮短2/3。同時,由于實現了機電一體化控制,消化時可自動控溫,縮短了消化時間;使用大消化管,消化時樣品無發泡、爬壁和粘貼現象,保證試樣消化完全;從消化到蒸餾、滴定無試樣轉移過程,滴定終點可自動識別,減少了人為因素造成的誤差。
相關儀器:纖維測定儀
- 【中國農業儀器網】聲明部分文章轉載自其它媒體,轉載目的在于傳遞更多信息,并不代表本網贊同其觀點和對其真實性負責,且不承擔此類作品侵權行為的直接責任及連帶責任。如涉及作品內容、版權和其它問題,請在30日內與本網聯系。









